본문 바로가기
자격증 공부/가스산업기사 실기

가스산업기사 이론정리(압축기, 펌프, 윤활유, LP가스 이송방법)

by LifeCraft 용 2025. 7. 9.
728x90
반응형

가스산업기사 자격증 취득을 향해!!

 

압축기

1. 압축기 분류

1) 용적형 압축기

 일정 용적 실내에 기체를 흡입한 후 흡입구를 닫아 기체를 압축하면서 다른 토출구에서는 압출을 반복하는 형식

왕복동식, 회전식이 있음

 

(1)왕복동식 압축기 특징

  1. 고압을 쉽게 얻을 수 있음
  2. 압축기 효율이 높음
  3. 용량조절이 용이, 범위가 넓음
  4. 압축이 단속적이므로 맥동현상이 발생, 방진장치 필요
  5. 형태가 크고 중량이 무거우며 설치 면적이 크고 고가
  6. 반드시 흡입밸브, 토출밸브가 필요

(2) 왕복동 압축기 피스톤 압출량★

이론적 피스톤 압출량 실제적 피스톤 압출량 기호
V=( π/4)D^2*L*N*n*60 V=( π/4)D^2*L*N*n*60*𝓷 D : 피스톤 지름 (mm)
L : 행정 거리(m)
N : 분당 회전수(rpm)
n : 기통수
𝓷 : 체적효율(항상<1)
V : 피스톤 압출량

 

 

(3) 왕복동 압축기 효율

  1. 체적효율 : 체적효율 = (실제적 피스톤 압출량 / 이론적 피스톤 압출량)*100
  2. 압축효율 : 압축효율 = (이론 동력 / 실제 소요동력(지시동력))*100
  3. 기계효율 : 기계효율 = (실제소요동력(지시동력) / 축동력)*100

(4)회전식 압축기

  1. 용적형이며, 오일 윤활방식(급유식)으로 소용량에 사용
  2. 압축이 연속적으로 이루어져 맥동현상이 없다
  3. 왕복압축기와 비교하여 구조가 간단, 동작이 단순
  4. 고진공을 얻을 수 있음
  5. 직결 구동이 용이하고, 고압축비를 얻을 수 있다.
  6. 종류 : 고정익형과 회전익형이 있음

 

 

 

2) 터보형 압축기

 기계에너지를 회전에 의해 기체의 압력과 속도에너지로 전하고 압력을 높이는 형식

원심식, 축류식이 있음

  • 터보형 원심식 압축기 : 임펠러의 출구각이 90º보다 작을 때
  • 터보형 축류식 압축기 : 임펠러 회전 시 기체가 한 방향으로 압출되어 흐르는 형식

(1)원심식 압축기 특징

  1. 원심형 무급유식
  2. 연속토출맥동이 적다
  3. 고속회전이 가능하므로 모터와 직결사용이 가능하다
  4. 형태가 적고 경량이어서 기초면적, 설치면적이 작게 차지한다
  5. 용량조정범위가 좁고(70~100%), 어렵다
  6. 압축비가 적고 효율이 나쁘다
  7. 운전 중 서징 현상에 주의

(2) 원심식 압축기 용량 제어법

  1. 속도 제어에 의한 방법
  2. 토출밸브 조정에 의한 방법
  3. 흡입밸브 조정에 의한 방법
  4. 바이패스에 의한 방법

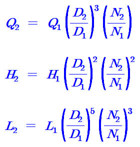
(3) 상사의 법칙

출처 : https://www.moducbt.com/question/17988

 

 

 

(4)축류 압축기의 특징

  1. 동익식인 경우 날개의 각도 조절에 의하여 축동력을 일정하게 한다.
  2. 효율이 좋지 않다.
  3. 압축비가 작아서 공기조화설비에 사용

 

 

펌프

1. 펌프의 종류

  1. 기어펌프, 베인펌프
  2. 원심펌프 : 임펠러의 회전에 의함
  3. 압력 조정기 : 기화부에서 나온 가스를 소비목적에 따라 일정 압력으로 조정
  4. 안전밸브 : 기화장치 내압이 이상 상승했을 때 장치 내 가스를 외부로 방출

1)원심펌프

  • 직렬 연결 : 양정 증가, 유량 일정
  • 병렬 연결 : 양정 일정, 유량 증가

직양증, 병양일

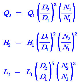
상사의 법칙 https://ywpop.tistory.com/12927

Q : 유량,  H : 양정,  L : 동력

 

유양동123  or  유12 양22 동35 


 

 

★ 중요가스 윤활유

1. 공기 : 양질의 광유

2. 아세틸렌 : 양질의 광유

3. 수소 : 양질의 광유

4. 산소 : 10% 이하의 묽은 글리세린수 또는 물

5. 염소 : 진한 황산

 

공유, 아유, 수유, 산물, 염황

 

 

압축비와 다단압축

1. 압축비가 클 때 미치는 영향

  1. 토출가스의 온도가 상승
  2. 압축기의 과열로 체적효율 감소
  3. 체적효율의 감소로 압축기 능력 저하

2. ★ 다단압축 장점

  1. 1단 단열압축과 비교시 소요일량 절감
  2. 힘의 평형 양호
  3. 압축비 감소로 인한 효율 증가
  4. 토출가스 온도상승 방지

 

LP가스 이송 방법

1. 차압에 의한 방법 : 펌프 등을 사용하지 않고 탱크 자체 압력을 이용

 

2. 압축기에 의한 방법

장점 1. 펌프에 비해 충전시간이 짧음
2. 잔가스 회수 가능
3. 베이퍼록 현상이 생기지 않음
단점 1. 부탄의 경우 저온에서 재액화 현상
2. 드레인현상이 생김

 

3. 액펌프에 의한 방법

장점 1. 재액화 현상이 일어나지 않음
2. 드레인 현상이 없음
단점 1. 충전시간이 긺
2. 잔가스 회수 불가
3. 베이퍼록 현상이 일어나 누설의 원인이 됨

 

압축기 장점 ↔ 액펌프 단점

압축기 단점 ↔ 액펌프 장점

728x90
반응형

댓글